Kegelschnitte (7.Klasse)

Lernpfad erstellt und betreut von:

Christian Kathrein

E-mail: christian.kathrein@hotmail.com
Steckbrief
Kurs-Informationen
Ansicht mit Navigations-Frame
Lernpfadseite als User öffnen (Login)
Lernpfadseite bearbeiten (Autor)

Übersicht:       
Hilfe
1. Einleitung
2. Der Kreis
3. Die Ellipse
4. Die Hyperbel
5. Die Parabel

Die Hyperbel
 
4.1 Definition

Die Hyperbel ist definiert als die Menge aller Punkte X, für die gilt, dass der Absolutbetrag der Differenz der Abstände zu den beiden Brennpunkten F1 und F2 gleich der doppelten Hauptachsenlänge 2a ist.


Lernstoff
 
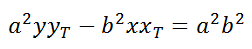
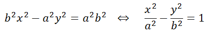
4.2 Hyperbelgleichung

Die allgemeine Gleichung der Hyperbel in erster Hauptlage lautet:

Die Herleitung zu dieser Gleichung findest du hier


Lernstoff
 
4.3 Konstruktion einer Hyperbel

In diesem GeoGebra Applet, kannst du dir ansehen wie man eine Hyperbel Schritt für Schritt konstruiert:


Wiederholung
 
4.4 Berührbedingung

Die Berührbedingung für die Hyperbel lautet:

Die Herleitung ist analog zu der Berührbedingung der Ellipse


 
4.5 Tangentengleichung

Die Spaltform der Tangentengleichung für die Hyperbel lautet:

Die Herleitung funktioniert auch hier analog zur Ellipse


Lernstoff
 
4.6 Übungsaufgaben
Lade dir folgendes PDF-File herunter und löse die Übungsaufgaben:
Übungsblatt Hyperbel

Übungsaufgaben
 
Lernpfadseite als User öffnen (Login)

Falls Sie noch kein registrierter User sind, können Sie sich einen neuen Zugang anlegen. Als registrierter User können Sie ein persönliches Lerntagebuch zu diesem Lernpfad anlegen.

 Zur Galerie
 Zu den Mathematischen Hintergründen
 Zum Lexikon
 Zu den interaktiven Tests
 Zu den Mathe-Links und Online-Werkzeugen
 Zur Welcome Page
   Übersicht über die Lernpfade
 Open Studio Materialien
 Open Studio Eingang
 Neuen Zugang anlegen
 Login